ergo-log.com

Definition: "An ergogenic aid is any substance or phenomenon that enhances performance "

about us

/

contact

/

Ergo-Log

02.12.2024


Does fructosyl-leucine in elderberries increase testosterone levels?

Elderberry extracts may increase the testosterone levels of middle-aged men, according to an animal study published in Nutrients. If people respond to elderberries as well as lab rats, a teaspoon of extract per day should have an effect.


Does fructosyl-leucine in elderberries increase testosterone levels?


Study
South Korean researchers, affiliated with longevity nutraceuticals manufacturer Kosabio, gave several groups of middle-aged male lab rats a specific dose of a freeze-dried extract of elderberry every day for 12 weeks. The researchers describe their lab rats as old. Why they do that is a mystery to us.

The Koreans used a water-based extract they call KSB191. Details about the production of that extract can be found here.

Results
The highest and second highest doses of extract that the Koreans gave to their rats increased the concentration of testosterone and free testosterone in the rats' blood.

The human equivalent of the second highest dose was approximately 2400 milligrams per day. That's a teaspoon. The human equivalent of the highest dose was approximately 3200 milligrams per day.


Does fructosyl-leucine in elderberries increase testosterone levels?


Does fructosyl-leucine in elderberries increase testosterone levels?


The researchers found no effect of supplementation on the control hormones LH, FSH and GnRH. They also found no effect on liver enzymes, which pretty much means the extract was not harmful to the liver. The test animals' prostates also did not grow.

Mechanism
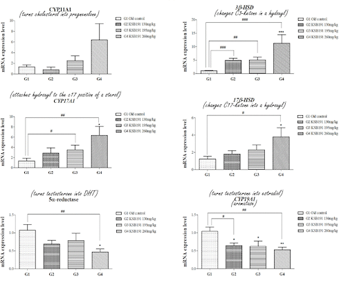
Supplementation with elderberry extract reduced the production of aromatase and 5-alpha-reductase in the testes, which suggests that substances in elderberries reduce the conversion of testosterone to estradiol and DHT, respectively.

Moreover, in the testes he extract actually increased enzymes involved in the conversion of cholesterol into testosterone, such as 3-beta-HSD, 17-beta-HSD and Cyp-17a1.

Click on the figures below for a larger version.


Does fructosyl-leucine in elderberries increase testosterone levels?


Does fructosyl-leucine in elderberries increase testosterone levels?


Does fructosyl-leucine in elderberries increase testosterone levels?


Fructosyl-leucine
You can see the main active ingredients in KSB191 above. The researchers suspect that the increase in testosterone levels is mainly caused by substance 2 or N-(1-Deoxy-D-fructos-1-yl)-L-leucine, which we for convenience, call it fructosyl-leucine.

The Koreans base this theory on an in vitro study that previously appeared in PLoS One in 2024. [PLoS One. 2024 Apr 25;19(4):e0302403.]

Conclusion
The researchers suspect that supplementation with KSB191 or fructosyl-leucine may be an alternative to testosterone therapy.

"These results suggest that KSB191 plays a critical role in maintaining mitochondrial function in Leydig cells, protecting cells from various types of damage, ultimately alleviating symptoms associated with testosterone deficiency syndrome",they write.

"Consequently, KSB191 is a potential novel functional material that can treat testosterone deficiency syndrome, improve men's health, and restore masculinity through age-defying vitality and youthfulness."

Source:
Nutrients 2024, 16(23), 4169.

More:
Elderberry extract helps you get over the flu sooner 17.10.2024
Out of every 10 elderberry supplements 1 is counterfeit 31.03.2021
Elderberries protect against flu viruses in these two ways 28.05.2019
Elderberries help against colds 04.06.2016

Archives:
Boosting Testosterone
Berries


About enokitake, testosterone and copious amounts of adenosine A pheromone in cloves increases your testosterone levels | Beta-caryophyllene Arugula | Testosterone from your vegetable garden

About enokitake, testosterone and copious amounts of adenosine
Mushrooms such as reishi and cordyceps can increase testosterone levels. This also applies to enokitake, an edible mushroom that can be found on the shelves of your local supermarket.

A pheromone in cloves increases your testosterone levels | Beta-caryophyllene
On this gray autumn day we read interesting animal and human studies that clarify which substance in herbs such as cloves and thyme increases testosterone levels.

Arugula | Testosterone from your vegetable garden
At the time of writing this piece, it is mid-September. If you have a balcony, garden or greenhouse, you still have about a month to sow arugula.