ergo-log.com

Definition: "An ergogenic aid is any substance or phenomenon that enhances performance "

about us

/

contact

/

Ergo-Log

02.03.2024


About enokitake, testosterone and copious amounts of adenosine

Mushrooms such as reishi and cordyceps can increase testosterone levels. This also applies to enokitake, an edible mushroom that can be found on the shelves of your local supermarket. If Japanese researchers are correct, of these three mushrooms, enokitake is probably the best testosterone booster.


About enokitake, testosterone and copious amounts of adenosine


Enokitake
Japanese biochemists at the University of Shizuoka wanted to know more about the compounds that give mushrooms such as cordyceps and reishi the ability to increase testosterone levels.

They mainly focused on enokitake or Flammulina velutipes, an edible mushroom. Based on research into cordyceps mushrooms, the researchers already suspected that adenosine and its analogues in particular played a role in increasing testosterone production by mushrooms.

In vitro study
The Japanese exposed cells from the testes of mice to increasing concentrations of adenosine - solid line - and an alcohol extract of enokitake - dotted line. The higher the concentration of adenosine and extract, the more testosterone the cells produced.


About enokitake, testosterone and copious amounts of adenosine

About enokitake, testosterone and copious amounts of adenosine


In another in vitro experiment, the researchers compared the pro-testosterone effect of even more foods containing adenosine. They found a direct association between the concentration of adenosine in the extracts of those foods and the amount of testosterone that testes cells produced.

Animal study
The researchers gave mice adenosine or an alcohol extract of enokitake every day for 10 days in their drinking water. We are unable to provide a good estimate of a human equivalent of the doses used.

Mice in control groups were given normal drinking water.

On day 6 of the experiment, the researchers placed the mice in cages that were flooded, so that the animals' feet were continuously wet. This is a significant and exhausting stress stimulus for mice. You can expect their testosterone levels to plummet as a result.

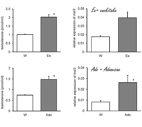
On the last day of the experiment, the researchers measured the amount of testosterone in the testes of the mice. The figures below show that this concentration was higher if the mice had received enokitake or adenosine.

Enokitake and adenosine also increased the activity of insulin-like peptide-3 [Insl3] in the testes. That is of course very interesting. We would not be surprised if insulin-like peptide-3 plays a more important role in the ergogenic effect of enokitake, cordyceps and adenosine than testosterone... ​


About enokitake, testosterone and copious amounts of adenosine


Conclusion
The researchers call for more research. "Regarding enokitake and other edible mushrooms, the effects of adenosine on the testes have not been previously investigated," they write.

"The enokitake ethanolic extract effectively increased testosterone production and notably contributed to the effective restoration of testicular function impaired by fatigue and aging, as demonstrated in our mouse experimental models."

"Altogether, our data indicate that mushrooms containing relatively high adenosine levels may be useful against fatigue and aging in humans, which warrants further research."

Now we suddenly understand...
...why SAMe increases testosterone biosynthesis in vitro.


About enokitake, testosterone and copious amounts of adenosine


Source:
Nutrients. 2023 Apr 29;15(9):2142.

More:
Cordycepin from Cordyceps militaris rejuvenates testes 25.01.2020
Fit athletes derive more benefit from testosterone boosters Cordyceps sinensis and Ganoderma lucidum 26.05.2019
Fit athletes derive more benefit from testosterone boosters Cordyceps sinensis and Ganoderma lucidum 03.09.2015
Pleurotus eryngii: more growth hormone, IGF-1 and testosterone 19.09.2012

Archives:
Boosting Testosterone
Mushrooms


Cordyceps sinensis works like hCG Got it! Active ingredient in cordyceps is cordycepin Elderly are fitter with Cordyceps sinensis

Cordyceps sinensis works like hCG
Extracts of the fungus Cordyceps sinensis may raise testosterone levels

Got it! Active ingredient in cordyceps is cordycepin
Extracts of the fungus Cordyceps sinensis have been shown to boost testosterone levels and improve the endurance capacity of the over 50s in lab tests.

Elderly are fitter with Cordyceps sinensis
Nutritionists at the University of California in Los Angeles discovered this when they did experiments with 15 men and women aged between 50 and 75.