ergo-log.com

Definition: "An ergogenic aid is any substance or phenomenon that enhances performance "

about us

/

contact

/

Ergo-Log

02.09.2025


Ecdysterone and diosgenin enhance each other's anabolic effect

Two weeks ago, we wrote about a bogus supplement that was supposed to accelerate muscle growth and contain both ecdysterone and diosgenin. Because the manufacturer only included a fraction of the ingredients listed on the label in its capsules, the product didn't work at all. But the idea of combining ecdysterone and diosgenin in a bodybuilding supplement isn't all that bad.


Ecdysterone and diosgenin enhance each other's anabolic effect


Study
Molecular scientists at the German Sport University Cologne exposed young muscle cells in vitro to DHT, various concentrations of ecdysterone, and diosgenin - as well as various concentrations of the combination of ecdysterone and diosgenin. They then examined the effect of these substances on the muscle cells' ability to form muscle fibers.

Ecdysterone is an ecdysteroid found in spinach. Organically grown spinach can be particularly high in ecdysterone.

Diosgenin is a spirostane found in wild yams and fenugreek seeds. [Front Nutr. 2024 Feb 2:11:1280100.] Ecdysterone and diosgenin could explain the supposed anabolic properties of spinach and fenugreek.


Ecdysterone and diosgenin enhance each other's anabolic effect


Results
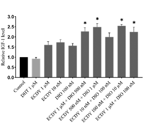
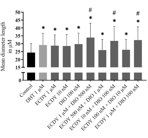
The researchers considered the diameter of the formed muscle fibers as a marker for anabolic properties. They observed that the combination of 10 nanomoles of ecdysterone and 100 nanomoles of diosgenin gave the muscle cells a more powerful anabolic stimulus than either substance alone. The growth stimulus from the combination even exceeded that of 1 micromole of DHT.

The combination of diosgenin and ecdysterone, like DHT, significantly increased the activity of the gene that codes for IGF-1 in muscle cells.


Ecdysterone and diosgenin enhance each other's anabolic effect

Ecdysterone and diosgenin enhance each other's anabolic effect


Mechanism
Based on other in vitro research [Mol Nutr Food Res. 2014 Sep;58(9):1861-72.], the researchers suspect that the anabolic effect of ecdysterone is due to stimulation of the estradiol beta-receptor. This is not the receptor that causes estradiol's classic effects.

The Germans repeated their experiments and then also exposed their muscle cells to an anti-androgen. The anabolic effect of diosgenin then disappeared. This means that diosgenin stimulates muscle cells via the androgen receptor. Because diosgenin does not have classic androgenic effects, the researchers believe that diosgenin is a natural SARM.

Dosages
Taking approximately 30 milligrams of ecdysterone raises the ecdysterone concentration in the blood to 10 nanomoles. [Arch Toxicol. 2019 Jul;93(7):1807-16.] Because ecdysterone clears quickly from the blood, you should take two doses daily. Ecdysterone is water-soluble, fairly resistant to stomach acid, and therefore does not require a special formulation.

Diosgenin is fat-soluble. Therefore, you should dissolve it in oil. Diosgenin is also sensitive to stomach acid. Therefore, you would also need to encapsulate it in gel caps to ensure it passes through the stomach intact. After absorption by the small intestine, diosgenin breaks down less quickly than ecdysterone.

We cannot comment on the exact dosage. We have not been able to find any suitable studies. But with 200-250 milligrams of diosgenin, dissolved in olive oil and enclosed in a good gel cap, you should be able to get quite far.

You could also put ecdysterone in that capsule. If taken with a meal, the body probably absorbs both substances well.

Source:
Toxicol Lett. 2024 Nov:401:181-9.

More:
Ecdysterone analogue Bio103 has more anabolic effect than its mother compound 07.09.2019
Couple of milligrams ecdysterone daily strengthens bones 04.08.2015
The unusual anabolic effect of Ajuga turkestanica 31.03.2015
Anabolic effect of ecdysterone strong enough to put it on the doping list 06.08.2014

Archives:
Unusual Muscle Building Strategies
Plant Steroids
Ecdysteroids


Trigonelline keeps you fit and strong as the years go by Bodybuilders' muscles also become stronger with urolithin-A 6-Sialyllactose | An anabolic sugar in milk

Trigonelline keeps you fit and strong as the years go by
If you are older but still want to stay strong and fit, anything that increases the concentration of NAD+ in your cells is interesting.

Bodybuilders' muscles also become stronger with urolithin-A
A year ago, Ergo-Log reported that supplementation with urolithin-A, a substance that is created in the body when the microflora in the intestines cuts ellagitannins in fruit into pieces, makes muscles stronger in inactive people.

6-Sialyllactose | An anabolic sugar in milk
Korean researchers established the anabolic qualities of 6-sialyllactose in an animal study.