ergo-log.com

Definition: "An ergogenic aid is any substance or phenomenon that enhances performance "

about us

/

contact

/

Ergo-Log

22.08.2025


Why you'll notice absolutely nothing when using Weider Beta Ecdysterone

Four years ago, we wrote a critical post about the poor quality of supplements that were supposed to contain sufficient ecdysterone to accelerate muscle growth in athletes. In that 2021 apost, we were still positive about Weider Beta Ecdysterone, which performed remarkably well in the analyses - something we now regret deeply.


Why you'll notice absolutely nothing when using Weider Beta Ecdysterone


Study
More sensible bloggers than us would, of course, never have written anything positive about a product by a major supplement manufacturer like Weider. Big companies have only one goal - and that's to enrich themselves. If they do that by creating something useful, well, that's a coincidence.

Anyway, we're naive idiots. When we read something positive about Weider Beta Ecdysterone in 2021, we dutifully wrote it down. And after reading the study that Joshua Dissemond of the IST University of Applied Sciences in Germany published in the Journal of the International Society of Sports Nutrition, we wish we hadn't.

Dissemond had 24 experienced male strength athletes train according to the same schedule for 12 weeks. Half received a placebo, the other half used Weider Beta Ecdysterone.

Results
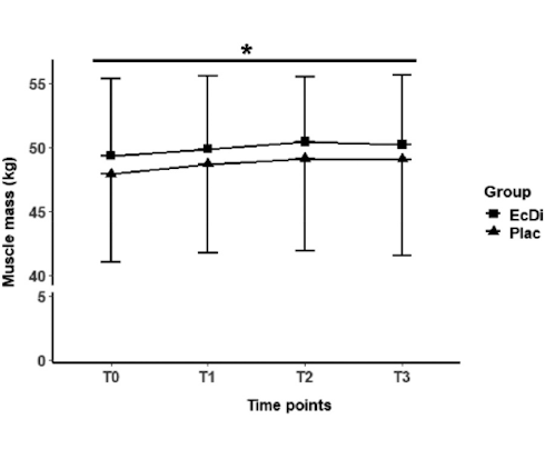
The supplement had no effect whatsoever. The figures below show the maximum weight at which the subjects could just bench press one rep and their muscle mass, but the supplement had no effect whatsoever on other parameters either.


Why you'll notice absolutely nothing when using Weider Beta Ecdysterone

Why you'll notice absolutely nothing when using Weider Beta Ecdysterone


When Dissemond analyzed the contents of Weider Beta Ecdysterone, it quickly became clear why the supplement didn't add anything. The supplement contained 0.025 percent of the amount of ecdysterone stated on the label. It was therefore severely underdosed.

Besides ecdysterone, the supplement also contained diosgenin. The label stated 50 milligrams, but the researchers found less than 16 milligrams.

The table below shows the results of an analysis of an older batch from 2018 - which we, the fools that we are, were praising in 2021. You also see the results of an analysis of a more recent batch used in the disappointing study we just discussed.


Why you'll notice absolutely nothing when using Weider Beta Ecdysterone


Combination
There might be some merit to combining diosgenin with ecdysterone in a supplement intended to accelerate muscle growth. But we'll discuss that another time.

Source:
J Int Soc Sports Nutr. 2025 Dec;22(1):2540408.

More:
Ecdysterone analogue Bio103 has more anabolic effect than its mother compound 07.09.2019
Couple of milligrams ecdysterone daily strengthens bones 04.08.2015
The unusual anabolic effect of Ajuga turkestanica 31.03.2015
Anabolic effect of ecdysterone strong enough to put it on the doping list 06.08.2014

Archives:
Plant Steroids
Ecdysteroids
Test Results


Almost all ecdysterone supplements are underdosed Laboratory tests 4 5-alpha-hydroxy-laxogenin supplements Out of every 10 elderberry supplements 1 is counterfeit

Almost all ecdysterone supplements are underdosed
According to animal and human studies, ecdysterone, a steroid-like substance in spinach and quinoa, has an anabolic effect. Yet athletes who have used ecdysterone supplements are often not happy with these products.

Laboratory tests 4 supplements with 5-alpha-hydroxy-laxogenin that should contain 5-alpha-hydroxy-laxogenin
If you absolutely want to take 5-alpha-hydroxy-laxogenine supplements, make sure you buy those things from a company you trust 100 percent.

Out of every 10 elderberry supplements 1 is counterfeit
Substances in elderberry have an antiviral effect. No wonder that elderberry sales are exploding right now.