ergo-log.com

Definition: "An ergogenic aid is any substance or phenomenon that enhances performance "

about us

/

contact

/

Ergo-Log

30.08.2024


Heavy dose of biotin for more testosterone | Animal study

In almost any online store that sells supplements, you will undoubtedly find a heavily dosed supplement that provides 10 milligrams of biotin per tablet. According to the Japanese animal study that an attentive reader recently sent us, such a supplement could increase men's testosterone levels.


Heavy dose of biotin for more testosterone | Animal study


Study
Researchers from Tohoku University gave male mice a high dose of biotin. The researchers injected the biotin directly into the small intestine of the animals. If the mice had been adult men, they would have been given 10-14 milligrams of biotin.

Six hours after administration, the researchers studied the effect of the vitamin on the testes.

The researchers could also have simply administered the vitamin orally. The bioavailability of biotin when administered orally is 100 percent. So it couldn't be better. [Am J Clin Nutr. 1999 Mar;69(3):504-8.]

Results
In the blood of laboratory animals [serum] and in the tissue of the testes, the concentration of testosterone increased by a factor of 3 and 1.3, respectively, after administration of biotin.

The concentration of LH did not increase by administration. This means that biotin directly affects the biosynthesis of testosterone in the testes.


Heavy dose of biotin for more testosterone | Animal study


Heavy dose of biotin for more testosterone | Animal study


In the blood of laboratory animals [serum] and in the testes, the concentration of testosterone increased by a factor of 3 and 1.3, respectively, after administration of biotin.

The concentration of LH did not increase by administration. This means that biotin directly affects the biosynthesis of testosterone in the testes.

Active group
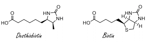
The researchers conducted in vitro studies in which they exposed testes cells not only to biotin, but also to valeric acid, lipoic acid and desthiobiotin. They wanted to find out which part of the biotin molecule is most important for the production of testosterone.


Heavy dose of biotin for more testosterone | Animal study

Heavy dose of biotin for more testosterone | Animal study

Heavy dose of biotin for more testosterone | Animal study


Heavy dose of biotin for more testosterone | Animal study


Desthiobiotin did not increase the cells' production of testosterone, valeric acid and lipoic acid. This means that the imidazole ring of biotin is important for the effect.

Conclusion
"These results suggest that biotin may have the potential to improve age-related male syndromes associated with declining testosterone production", write the researchers.

Source:
Nutrients. 2022 Nov 10;14(22):4761.

More:
More testosterone after supplementing with surprisingly small amounts of Japanese thyme 08.05.2024
About enokitake, testosterone and copious amounts of adenosine 02.03.2024
Gram D-chiro inositol gives men more testosterone 29.05.2023
How Tamarindus indica seeds may increase testosterone levels in men 27.05.2022

Archives:
Testosterone & Supplementation
Vitamin B
Vitamins


Alpinia galanga, a kitchen spice that increases testosterone levels Cysteine sulfoxides in onions increase testosterone levels Luteolin, a testosterone booster from parsley

Alpinia galanga, a kitchen spice that increases testosterone levels
Laos powder, found in every supermarket, is made from the roots of the Asian plant Alpinia galanga. This plant is related to Alpinia officinarum, ginger and turmeric.

Cysteine sulfoxides in onions increase testosterone levels
In recent years we have written more than once about the curious ability of onions to increase testosterone levels.

Luteolin, a testosterone booster from parsley
Luteolin, a flavonoid in parsley and cellery, may increase testosterone production by the testes.