ergo-log.com

Definition: "An ergogenic aid is any substance or phenomenon that enhances performance "

about us

/

contact

/

Ergo-Log

11.07.2024


Black tea protects the skin against sunlight, inhibits skin aging | In vitro study

Black tea may protect the skin from excessive exposure to sunlight. Black tea may also slow down the aging of the skin. This is suggested by an in vitro study published in 2021 in the Journal of Photochemistry & Photobiology.


Black tea protects the skin against sunlight, inhibits skin aging | In vitro study


Study
Chinese pharmacologists at Hunan Agricultural University exposed human skin cells in petri dishes to UVB light. UVB is the component of sunlight that can damage the skin if exposed to excess. If this happens consistently, the risk of skin cancer can increase while the rate at which the skin ages accelerates.

The scientific name for that phenomenon is photoaging. Photo aging causes 80 percent of skin aging, dermatologists suspect.

Theaflavins
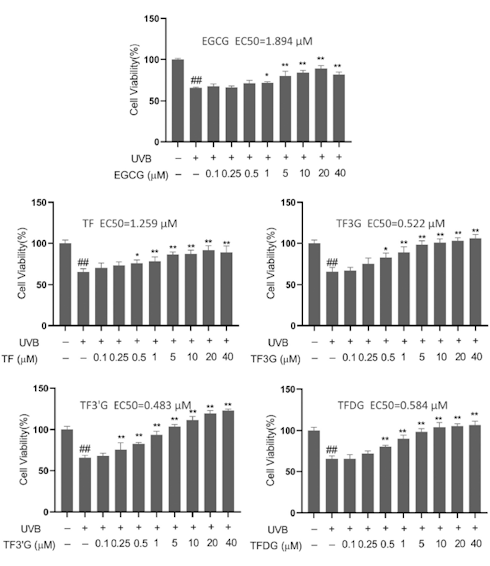
At the same time, the researchers exposed the cells to increasing concentrations of EGCG, the main bioactive substance in green tea, plus four theaflavins. Theaflavines are found in black tea. Recent studies suggest that the biological effects of theaflavins are not inferior to those of EGCG.

The researchers tested 4 theaflavins. You can see them below. Click on the figure for a larger version.


Black tea protects the skin against sunlight, inhibits skin aging | In vitro study


Results
UVB exposure reduced cell vitality, but EGCG and theaflavins partially reversed that effect. The higher their concentration, the greater their effect.

Theaflavins protected better than EGCG. Of the theaflavines, theaflavin-3'-gallate [TF3'G] emerged as the most effective protectant.


Black tea protects the skin against sunlight, inhibits skin aging | In vitro study


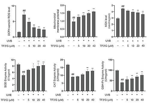
The figures below give you an impression of how theaflavin-3'-gallate protects the skin against UVB. The substance reduces the activity of free radicals [ROS] and also reduces the damage caused by free radicals [MDA].

In addition, during UVB exposure, theaflavin-3'-gallate reduces mitochondrial function loss and the activity of protective endogenous enzymes such as catalase and SOD.


Black tea protects the skin against sunlight, inhibits skin aging | In vitro study


Conclusion
"Tea can delay aging", the researchers write. "Theaflavins, known as the 'soft gold' in tea, are the core functional components of black tea."

"The research laid a theoretical foundation for the high-value utilization of black tea and theaflavins in the future."

Source:
J Photochem Photobiol B. 2021 Nov:224:112304.

More:
Five cups of green tea daily rejuvenates skin 10.09.2014

Archives:
Cosmeceuticals
Tea


Collagen hydrolyzate as a skin rejuvenator | The most effective dose is surprisingly low How propolis blocks skin aging Tiny dose of piceatannol improves dermal health | Trial

Collagen hydrolyzate as a skin rejuvenator | The most effective dose is surprisingly low
When it comes to products that keep skin young and healthy, collagen is perhaps the most thoroughly studied supplement.

How propolis blocks skin aging
Supplementation with propolis, the waxy substance with which bees build their nests, can slow down skin aging.

Tiny dose of piceatannol improves dermal health | Trial
Are skinceutical formulas which that contain both piceatannol and pinitol promising?