ergo-log.com

Definition: "An ergogenic aid is any substance or phenomenon that enhances performance "

about us

/

contact

/

Ergo-Log

24.08.2024


It's true | The most nutritious part of the potato is its peel

A few days ago we wrote that potatoes with their skin are the very best source of potassium. This remark has had its consequences. Readers bombarded us with information about the nutritional value of potato peels. Based on this material we wrote this post.


It's true | The most nutritious part of the potato is its peel


Study
You throw away about a third of potatoes when you peel them.

That's a shame in two ways. One is obvious, the other is that the concentration of all kinds of interesting and potentially bioactive substances in the skin of potatoes is higher than in the rest of the tuber.

In 2012, biochemists from Inner Mongolia University published a study in Food Chemistry in which they analyzed which special substances were contained in peeled potatoes and potato peels.

Results
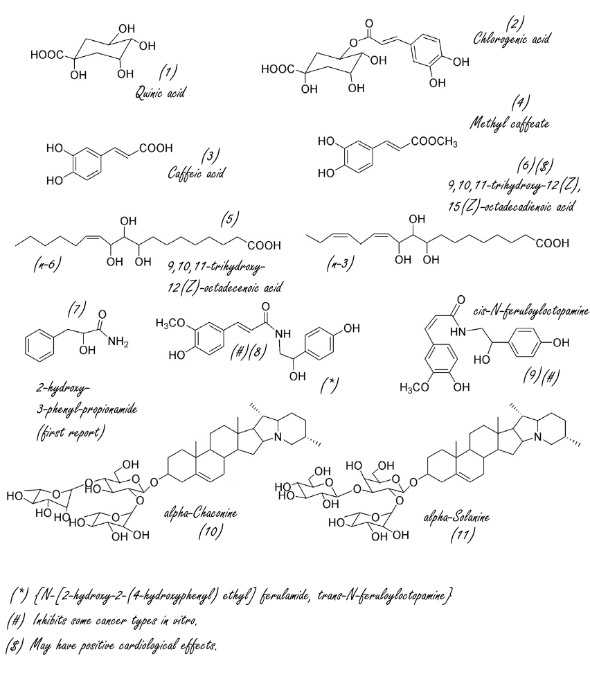
The figure below shows which substances the researchers found in potato peels. Click on it for a larger version.


It's true | The most nutritious part of the potato is its peel

It's true | The most nutritious part of the potato is its peel


It's true | The most nutritious part of the potato is its peel
Most of the substances in the peel were also present in the peeled potato, but in lower concentrations. The table above tells us that. Click on it for a larger version.

The values ​​are in milligrams per gram dry weight. If you divide them by 4 you get the values ​​in a boiled or baked potato.

Some components of both potato peels and potatoes, such as caffeic acid and chlorogenic acid, were able to eliminate free radicals in test tubes. In the form of an extract from peeled potatoes, the joint antioxidant effect of all those substances together was about the same as vitamin C. However, the antioxidant effect of an extract from potato peel was better.

Toxic?
You sometimes hear that alpha-chaconine and alpha-solanine in potatoes can be poisonous. That's true. You also get higher doses of these two substances if you leave potatoes in their skins. But if you eat 1-3 unpeeled potatoes daily, the amount of alpha-chaconine and alpha-solanine remains safely well below the toxic dose.

This is not the case if the potato is green or has sprouts due to exposure to UV light. Then the concentration of alpha-chaconine and alpha-solanine is probably so high that it is better to peel it.

Source:
Food Chem. 2012 Dec 15;135(4):2425-9.

More:
Want to lose weight or become healthier? Cook your potatoes and pasta a day ahead 19.06.2017

Archives:
Miscellaneous


Carrots are healthier if you don't peel them An anti-cancer factor in the skin of apples The life extenders in onion peel

Carrots are healthier if you don't peel them
When you peel carrots, you throw out half of the carrot polyacetylenes, Danish researchers reported in 2008.

An anti-cancer factor in the skin of apples
We recently wrote about an in vitro study in which Pink Lady apple peel extracts inhibited the growth of cancer cells. Probably the skin of all types of ruddy apples has this effect.

The life extenders in onion peel
You can easily find articles and videos on the web that tell how to dry, grind and use the peels of onions in the kitchen. This information is not only useful for people who use their money sparingly.