ergo-log.com

Definition: "An ergogenic aid is any substance or phenomenon that enhances performance "

about us

/

contact

/

Ergo-Log

20.09.2024


This is how you remove heavy metals from your body

Wherever there are industrial areas, planes fly over, ships sail and cars drive, there are toxic heavy metals. Preventing exposure is practically impossible. But it is possible to limit the concentration of heavy metals in your body.


This is how you remove heavy metals from your body


Toxic heavy metals are found in drinking water, in dust particles you breathe and in the food you eat. They are invisible, tasteless and odorless. Only laboratories can identify them and measure their concentration. Heavy metals can accumulate in tissues and, if the concentration reaches a limit value, cause damage. [Front Pharmacol. 2021 Apr 13;12:643972.]

For example, arsenic increases the risk of skin and lung cancer. Cadmium, like arsenic, can cause lung cancer - as well as cancers in the pancreas, breast tissue, prostate and gastrointestinal tract. In addition, cadmium can weaken bones and damage kidneys. Lead, yet another heavy metal, damages the intestines, disrupts hormone balance, reduces fertility and causes learning disorders by damaging nerve and brain cells.

In every country, the government sets limits on the amount of heavy metals that can circulate in the living environment, but despite this, hundreds of scientific studies find heavy metals in people - and in almost all of these studies, high concentrations of cadmium, lead and other toxic heavy metals are associated with reduced health.

Fortunately, there are non-medical ways you can reduce the amount of heavy metals in your body yourself. This is interesting for anyone who wants to protect themselves against heavy metals and does not want to blindly rely on the government.


This is how you remove heavy metals from your body


Pectins
Currently, citrus pectin supplementation is the best-studied approach to reducing heavy metals in the body. It is not the only way and it may turn out in about twenty years that supplementation with pectins was not the best way either.

Most of the studies we mention below were also paid for by manufacturers of pectin supplements. Because sponsored research is often less reliable than independent research, it is wise to exercise some skepticism.

With these two considerations in mind, the scientific literature is promising when it comes to the impact of pectins on mercury, cadmium and other toxic heavy metals. To give a random example, after the Chernobyl nuclear disaster, doctors successfully used citrus pectins to remove radioactive heavy metals from the bodies of local residents. [Radiat Prot Dosimetry. 2007;125(1-4):523-6.]


This is how you remove heavy metals from your body


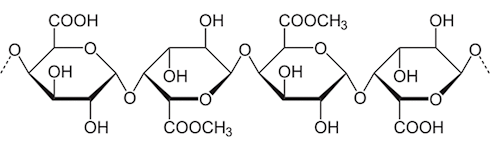
What are pectins?
Pectins [simplified chemical structure above] are dietary fibers found in fruits and vegetables. The food industry extracts pectins from the peels of citrus fruits and apples and uses them as a gelling agent for jams, sweets and baked goods. Health scientists have been studying the same pectins since they discovered that in doses of 15-25 grams per day they improve cholesterol levels [Eur J Clin Nutr. 2012 May;66(5):591-9.] and constipation. [Zhonghua Yi Xue Za Zhi. 2014 Dec 30;94(48):3813-6.]

In quantities of 15 grams per day, pectins usually have no side effects. Sometimes people have a bloated feeling, but this side effect disappears if they take the dose throughout the day. For example, 5 grams with breakfast, 5 grams with lunch and another 5 grams with dinner.

Pectin users can also tolerate a higher dose of 20 grams per day, but this does require an adjustment period. If you have been using 15 grams of pectins per day for a week without any problems, you can increase your intake by 5 grams if desired.

Besides pectins, there are other types of dietary fiber. But as far as we know, they cannot accelerate the loss of heavy metals.

Removal of toxic heavy metals
In amounts of 15-20 grams per day, pectins can remove heavy metals from the body. Pectins form complexes with heavy metals, which the body can remove relatively easily. This happens in small amounts through perspiration, in larger amounts through the urine and in even larger amounts through the feces.

A dietary supplement optimized for this is available on the market as MCP. MCP is an abbreviation for modified citrus pectin. In trials, daily administration of 15-20 grams of MCP increases the amount of arsenic, cadmium and lead that subjects lose through the urine. [Phytother Res. 2006 Oct;20(10):859-64.]

In other scientific publications, supplementation with MCP reduced the amount of mercury in the blood by seventy to eighty percent after a few months. [Forsch Komplementmed. 2007 Dec;14(6):358-64.]


This is how you remove heavy metals from your body


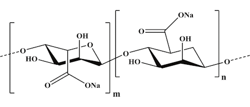
Alginate
A substance that may enhance the effect of MCP is alginate [structural formula above]. This is suggested by a small American study. According to this study, in a relatively small amount of 3 grams of MCP and one and a half grams of alginate per day, this combination is able to even remove uranium from the body. [Altern Ther Health Med. 2019 Jul;25(4):20-4.]

Probiotics
Companies and research institutes are conducting animal studies looking for other ways people can get rid of heavy metals. A promising one is the administration of probiotics [Food Chem Toxicol. 2021 Jul;153:112306.] such as Lactobacillus plantarum CCFM8610 [J Agric Food Chem. 2019 Apr 10;67(14):3956-65.] or Lactobacillus plantarum CCFM8661. [Food Funct. 2019 Mar 20;10(3):1455-64.]

(A lot of) exercise
The scientific literature mentions yet another non-medical way to reduce heavy metal levels in the body. This is physical activity.

For example, in 2020, Spanish sports scientists published a study in which they followed a group of runners, who covered an average of 120 kilometers every week, for six months. [J Int Soc Sports Nutr. 2020 Aug 17;17(1):43.] During that period, the concentration of a number of heavy metals in the blood of the athletes decreased. The researchers found no decrease in the blood of a group of inactive subjects.

It is not clear how exercise helps remove heavy metals. Some websites say that people who exercise a lot remove more heavy metals through perspiration. That's right, [Int J Environ Res Public Health. 2022 Apr 4;19(7):4323.] but the amount of heavy metals in perspiration is also modest in active people.

Animal studies suggest a different and perhaps more important mechanism. Laboratory animals excrete more bile salts through their feces [J Pharmacol Exp Ther. 1993 Apr;265(1):321-7.] and cholesterol [Atherosclerosis. 2011 Oct;218(2):323-9.] the more they move. Laboratory animals, but perhaps also humans, may also lose more heavy metals via this route.

More:
MCP protects against uranium 23.04.2021
Chlorella is an antidote against dioxins 10.06.2021

Archives:
Miscellaneous


Cup of tea inhibits uptake of mercury from fish Do you want to live longer? Eat more fruits and vegetables (without agro-industrial toxins) Doing sport protects against toxic metals

Cup of tea inhibits uptake of mercury from fish
Fish is healthy, but then again it's not.

Do you want to live longer? Eat more fruits and vegetables (without agro-industrial toxins)
If you want to live longer, increasing your intake of fruits and vegetables is one of the smartest things you can do. But...

Doing sport protects against toxic metals
People who do intensive training are protected against toxic metals that accumulate in our bodies as a result of environmental pollution.