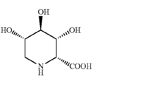
IdoBR-1
Iduronic acid occurs in the human body. It is processed, among other things, by the enzyme sialidase. If you take idoBR-1, the iminosugar blocks the enzyme. This reduces the activity of sialidase. This is suggested by a publication by the scientists who developed Q-actin. [ACS Omega. 2020 Jun 23;5(26):16263-71.]
Sialidase is likely also involved in inflammatory responses in damaged and worn-out joints. It cuts fragments of hyaluronic acid from damaged cartilage and allows CD44 immune cells to detect it. These immune cells can then drive inflammation in joints. Reduced sialidase activity therefore means less pain, breakdown and inflammation in a number of joint disorders.
IdoBR-1 in cucumber
The inventors of Q-actin are also the discoverers of idoBR-1. They synthesized the compound in a lab in the 1980s [Tetrahedron. 1987;43(2):415-22.] and later found it in cucumbers.
Based on gray pharmacobotanical literature, we once roughly estimated that a medium-sized cucumber contains approximately the same amount of idoBR-1 as in 20 milligrams of Q-actin. 20 milligrams is the standard dosage that researchers give to test subjects in trials.
We previously noted that the amount of idoBR-1 depends on the cultivar. In other words, the type of cucumber. This was correct, as we read in a patent from one of the creators of Q-actin and idoBR-1. [US20140309258A1.]
We've found a few old varieties that grow well in the Northern hemisphere and whose seeds are readily available.
1 | Yellow Bunch
An old Dutch cultivar. Less watery than supermarket cucumbers. Easy to sow and germinate indoors - and then transplant the seedlings into the soil outside.
2 | Cornichon
A small cucumber, called Cornichon Vert Petit de Paris in full and cultivated for centuries. Suitable for pickling with vinegar and making gherkins. May contain relatively high levels of idoBR-1.
3 | Crystal Apple
An old cultivar that has undergone minimal modification. Genetically similar to the very first cucumbers cultivated by Asians and Europeans. Still contains many phytodefensive metabolites - and therefore likely also idoBR-1.
4 | Suyo Long
One of the oldest cucumber cultivars still cultivated. Unhybridized, rich in defensive sugars - and therefore also in idoBR-1. Long and slender fruits with soft, edible seeds and a truly original cucumber flavor - sweet, sour, and faintly spicy.




