ergo-log.com

Definition: "An ergogenic aid is any substance or phenomenon that enhances performance "

about us

/

contact

/

Ergo-Log

29.02.2024


Green tea + theanine = reduced risk of flu by a factor of 5

If you come into frequent contact with people during the flu season, a supplement with L-theanine and catechins from green tea reduces the chance of you getting sick by a factor of 4 to 5.


Green tea + theanine = reduced risk of flu by a factor of 5


Study
Japanese pharmacologists at the University of Shizuoka divided 197 men and women who worked in healthcare into 2 groups.

During the 2009-2010 flu season, subjects in one group took a placebo every day for 5 months. The subjects in the other group took 210 milligrams of the amino acid L-theanine and 378 milligrams of catechins from green tea every day. Of those catechins, 270 milligrams were EGCG [structural formula below].

You can also consume these amounts of catechins without using supplements. If you drink 2 cups of green tea every day, you are already there. The table below tells you that. We found it in an article from 2010. [J Am Coll Nutr. 2010 Feb;29(1):31-40.]


Green tea + theanine = reduced risk of flu by a factor of 5


Green tea + theanine = reduced risk of flu by a factor of 5


It is difficult to get 210 milligrams of L-theanine daily by drinking tea. Tea is the only dietary source of theanine. A cup of green tea contains approximately 5 milligrams of this amino acid, a cup of black tea can contain up to 20 milligrams of theanine. The very best source of theanine is matcha tea. A cup of matcha can contain 25-35 milligrams of theanine.

Results
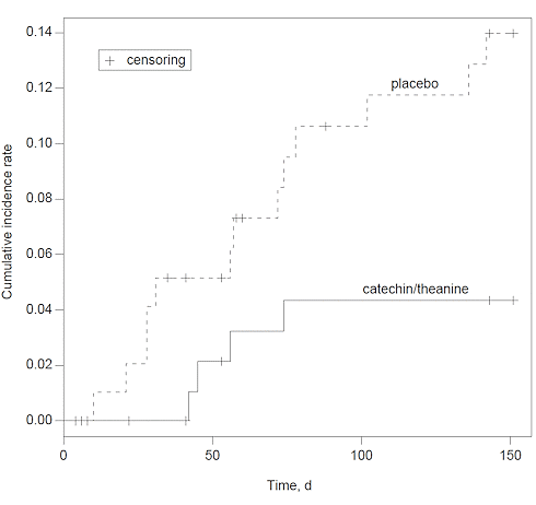
Compared to the placebo group, users of the theanine-catechin combination became ill 4 times less often as a result of infection with an influenza virus. In the placebo group, 13 percent of the test subjects got the flu, and in the supplementation group this was 4 percent.

The researchers used tests to determine whether the test subjects were infected with flu viruses. According to those tests, supplementation reduced the risk of influenza by a factor of 5. Click on the table below for a larger version.


Green tea + theanine = reduced risk of flu by a factor of 5

Green tea + theanine = reduced risk of flu by a factor of 5


Mechanism
"Experimental studies have shown some mechanisms of the action of green tea catechins and theanine on the prevention of influenza infection", write the Japanese.

"These studies have shown that green tea catechins bind to the hemagglutinin molecule of influenza virus, thereby inhibiting the virus adsorption to the host cells and blocking virus assembly or maturation cleavage." [Microbiol Immunol. 2002;46(7):491-4.] "Theanine has a possibility to enhance the systemic immunity (gamma-delta T-cell function) for influenza infection." [J Am Coll Nutr. 2007 Oct;26(5):445-52.]

Source:
BMC Complement Altern Med. 2011 Feb 21:11:15.

More:
Combination of L-cystine and L-theanine reduces chance of catching cold by seventy percent 13.04.2013
Strength athletes can boost immune system with cystine and theanine 06.08.2010

Archives:
Tea, Green Tea & EGCG
Immune System
Amino Acids
L-Theanine


Green tea protects against colds and flu Susceptible to cold and flu? This tea boosts your immune system How much green tea you need to drink to protect yourself against the flu?

Green tea protects against colds and flu
People who take a daily dose of two capsules containing extracts of green tea are protected against colds and flu.

Susceptible to cold and flu? This tea boosts your immune system
Natural Care Tea was developed by Hindustan Unilever Research Center in consultation with traditional Indian healers, who are rooted in Ayurveda.

How much green tea you need to drink to protect yourself against the flu?
As early as 2011, Japanese researchers reported that drinking 3 cups of green tea daily may drastically reduce the risk of flu.