ergo-log.com

Definition: "An ergogenic aid is any substance or phenomenon that enhances performance "

about us

/

contact

/

Ergo-Log

22.06.2025


Diversity of flavonoids in your diet keeps you healthy

If you want to grow old in optimal health, make sure your diet is high in flavonoids. Or make sure your diet has a variety of flavonoids. Or better yet, do both.


Diversity of flavonoids in your diet keeps you healthy


Study
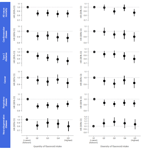
Researchers from Queen's University Belfast analyzed data from 124,805 British people aged 40 and over, collected as part of the UK Biobank project.

In 2006-2012, the researchers measured the amount and type of flavonoids in the diets of study participants. In 2020-2022, they looked at which study participants had died or had become chronically ill - for example, had developed cardiovascular disease, type 2 diabetes or cancer.

Results
The higher the total amount of flavonoids, the greater the chance that the study participants were still alive and healthy. The same was true for the diversity of flavonoids in the diet.

The researchers divided the study participants into 5 equal groups or quintiles based on their total flavonoid intake. The average intake in the quintile with the lowest intake was about 230 milligrams of flavonoids per day. In the quintile with the highest intake, it was 1400 milligrams per day.

In a similar way, the researchers divided the study participants into quintiles based on the diversity of their flavonoid intake.

In the table below, you can see that both a high total intake of flavonoids and a high degree of diversity reduce the risk of death and disease by 8-20 percent.


Diversity of flavonoids in your diet keeps you healthy


Diversity of flavonoids in your diet keeps you healthy


Click on the figure above for a larger version.

According to this study, the total amount of flavonoids and diversity are about equally important. A high intake of tea and red grapes - two important sources of flavan-3-ols - therefore reduces the chance of mortality, but if you also consume relatively many food sources of other flavonoids, you reduce that chance even further.

The figure below gives you an idea of ​​which foods and flavonoid types you should think about.


Diversity of flavonoids in your diet keeps you healthy


Source:
Nat Food. 2025 Jun 2. doi: 10.1038/s43016-025-01176-1. Online ahead of print.

More:
How dietary flavonoids and carotenoids protect against depression 04.01.2022
19.09.2021
Flavonoids in food extend your life expectancy 15.08.2015

Archives:
Longevity


Boost your flavonoid intake and lower your fat percentage Citrus flavonoid naringenin inhibits breast cancer metastasis Cyanidin, the life-extender in blueberries

Boost your flavonoid intake and lower your fat percentage
If you want to do something to reduce those extra rolls of fat, the first thing you'll do is make sure you're consuming fewer calories and burning more of them by getting exercise. That's logical. But...

Citrus flavonoid naringenin inhibits breast cancer metastasis
Daily supplementation with several hundred milligrams of naringenin - a substance in citrus fruits - may prevent breast cancer from spreading.

Cyanidin, the life-extender in blueberries
According to an in vitro study published in Scientific Report, fruits like blueberries contain phenols that activate the longevity enzyme SIRT6.