ergo-log.com

Definition: "An ergogenic aid is any substance or phenomenon that enhances performance "

about us

/

contact

/

Ergo-Log

16.03.2020


Yeast beta-glucans ease symptoms of virus infection

Yeast beta-glucans ease symptoms of virus infection
Mushroom beta-glucans appear to reduce the risk of viral infections, this website reported several times. Yeast beta-glucans may also have a positive effect on the immune system. They may not reduce the risk of infection, but they do seem to ease the symptoms of an infection with cold or flu viruses.

Beta-glucans
Beta-glucans are chains of glucose units. They are polysaccharides, which according to an impressive pile of fundamental research and a somewhat less impressive pile of human studies activate the immune system.

Although we don't know much about the interaction between the immune system and beta-glucans yet, it is clear that beta-glucans come in all shapes and sizes. The beta-glucans from cereals such as oats have a different structure than the beta-glucans from mushrooms or yeasts.


Yeast beta-glucans ease symptoms of virus infection


Study 1
In 2012, researchers at SupplementWatch published a human study involving 77 women aged 18-65 as a test subject. [J Am Coll Nutr. 2012;31(4):295-300.] During the 3 months that the study lasted, half of the women received a placebo, while the other half received a supplement containing 250 milligrams of yeast beta-glucans daily.

The researchers used a product from the American Wellmune, Wellmune WGP. [wellmune.com] You'll find Wellmune's beta-glucans in multiple immunomodulatory supplements. [Example] The study was not funded by Wellmune, but by Biothera. [biothera.com] Biothera is a pharmaceutical company that develops immunotherapies, among other things.

The women who took beta-glucans were less likely to experience flu and colds during the supplement. They less often reported a runny nose, cough, sore throat, or other upper respiratory symptoms. Moreover, supplementation with beta-glucans made the women feel stronger and fitter.


Yeast beta-glucans ease symptoms of virus infection


Yeast beta-glucans ease symptoms of virus infection


Study 2
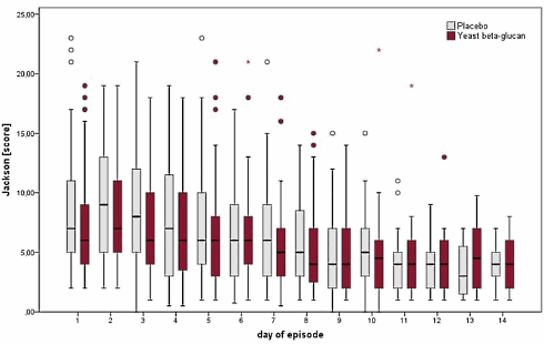
A similar study appeared in the Journal of the American College of Nutrition in 2019. It was carried out by the German research agency BioTeSys [[biotesys.de] on behalf of Leiber, [leibergmbh.de] a producer of yeast extracts.

The researchers divided 299 women aged 18-70 into 2 groups. For 16 weeks, the researchers gave half of the women a placebo every day, and the other half 900 milligrams of yeast beta-glucans. The researchers used Yestimun, a Leiber product.

The supplement did not affect the chance of women becoming ill. However, it did reduce the severity of the symptoms in the first seven days of the cold or flu. The two figures below tell that.


Yeast beta-glucans ease symptoms of virus infection


Yeast beta-glucans ease symptoms of virus infection


As was the case in the American study, beta-glucans improved the mood of the women. In addition, the supplement lowered blood pressure.

Source:
J Am Coll Nutr. 2019;38(1):40-50.

More:
Oyster mushroom glucans prevent virus infections 09.03.2020
Less fatigue, a better immune system yet training hard - thanks to beta-glucans 03.03.2020
Glucans from mushrooms protect against virus infections 29.02.2020

Archives:
Immune System


Animal study: spirulina is a virus inhibitor AHCC increases chances of survival after being infected with a deadly virus Elderberries protect against flu viruses in these two ways

Animal study: spirulina is a virus inhibitor
Of course, extrapolating an animal study to humans is risky. Against the background of alarming reports about the Covid-19 virus outbreak, we nevertheless read the study with above-average interest.

AHCC increases chances of survival after being infected with a deadly virus
In an American animal study, AHCC keeps mice alive that are infected with a virus that should have killed the animals under different circumstances.

Elderberries protect against flu viruses in these two ways
The readers of this web magazine know very well that elderberries help against colds. And it could just be that elderberries also protect against aggressive influenza viruses.