ergo-log.com

Definition: "An ergogenic aid is any substance or phenomenon that enhances performance "

about us

/

contact

/

Ergo-Log

03.08.2009


More intensive cardio means fewer reps with strength training

More intensive cardio means fewer reps with strength training
Older women may be better off not doing cardio before starting on strength training. Cardio training reduces the number of reps that they can make when pumping iron, write Brazilian sports scientists working at the Rio de Janeiro Federal University in the Journal of Strength and Conditioning Research.

It's not news that cardio training and strength training can affect each other negatively. But there are very few studies with precise information on how cardio and strength training get in each other's way. If more information is available, maybe trainers will be able to put together even better programmes. The researchers have made a contribution with this study of two dozen older women, with an average age of 75. The women had all been training for at least five years in fitness centres, and had experience of both cardio and strength training.

First the researchers got the women to run on a treadmill for twenty minutes. During one session they ran at sixty percent of their maximum heart rate (MHR), during the other they ran at eighty percent. The women were most tired after the more intensive cardio session. The figure below shows the tiredness score the women gave themselves.


More intensive cardio means fewer reps with strength training


After the cardio session the women had to train with weights. They did leg presses, leg extensions and leg curls. The researchers repeated the experiment a couple of times, but altered the order in which the test subjects did the exercises.

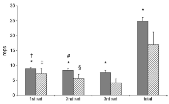
The researchers had set the effort load on the machines to a level at which the women were able to do ten reps. The graph below shows how many leg-curl reps the women were able to use. The solid grey bars represent the sets after the 60 percent MHR session, the bars with the diagonal strips represent the sets done after the 80 percent MHR session.


More intensive cardio means fewer reps with strength training


The more intensive the cardio session, the fewer reps. And the figures were pretty much the same for the other exercises. In addition, the women were more tired if their training started with an intensive cardio session.


More intensive cardio means fewer reps with strength training


The researchers suspect that older women at least, but perhaps also other groups, "should focus on one fitness component per exercise session". So it's either cardio or strength training each session. Doing both during one training session is not optimal. "This would allow for a higher quantity - and, most likely, quality - of both modes of training without the negative effects of fatigue."

Source:
J Strength Cond Res. 2009 Jul;23(4):1252-7.