ergo-log.com

Definition: "An ergogenic aid is any substance or phenomenon that enhances performance "

about us

/

contact

/

Ergo-Log

03.03.2011


This is what 1-Androsterone contains

German biochemists at the German Sport University Cologne have analysed capsules of the designer supplement 1-Androsterone, produced by Advanced Muscle Science. The capsules were seized by the State Bureau of Criminal Investigation Schleswig-Holstein.

This is what 1-Androsterone contains

According to the label, 1 capsule of 1-Androsterone contains 100 mg of the 1-testosterone metabolite 3b-hydroxy 5a-androst-1-en-17-one.

If it weren't for the fact that designer supplements like 1-Androsterone are as illegal as the classic steroids, the researchers would have had to conclude that there's nothing wrong at all with 1-Androsterone. A capsule contains 115 mg 3b-hydroxy 5a-androst-1-en-17-one.

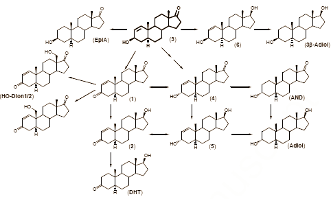
The researchers also discovered that it's not too difficult for doping hunters to track down use of 1-Androsterone. They gave 1 capsule to a male test subject and found that it was the conversion product 3a-hydroxy 5a-androst-1-en-17-one that turned up. The curve is shown below.


This is what 1-Androsterone contains


Although the curve doesn't appear to indicate it, the researchers still found 3a-hydroxy 5a-androst-1-en-17-one in the urine 9 days after the guy had taken just the 1 capsule. This substance is steroid [4] in the conversion scheme below. The substance in the designer supplement, 3b-hydroxy 5a-androst-1-en-17-one is steroid [3].


This is what 1-Androsterone contains


Source:
Steroids. 2011 Feb 15. [Epub ahead of print].

More:
Analysis: P-Plex 12.05.2010
Wrong steroid in IBE's Epistane 27.04.2010
Lab test: Gaspari's Orastan-A contains wrong steroids 05.01.2009