ergo-log.com

Definition: "An ergogenic aid is any substance or phenomenon that enhances performance "

about us

/

contact

/

Ergo-Log

02.12.2023


Slimming diet masculinizes fat men | Meta-study

If men with more body fat than is good for them want to increase their testosterone levels, they can of course give themselves synthetic testosterone - with all the associated risks. An alternative approach is for them to reduce their fat percentage. This will also increase their testosterone levels.


Slimming diet masculinizes fat men | Meta-study


Study
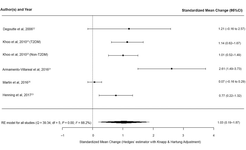
In 2022, Stephen Smith, research manager at the Australian private research center Clinical Research Australia, published a meta-study in which he aggregated and reanalyzed the results of 7 previously published trials. In the trials, researchers had men lose weight for 1-52 weeks and determined the effect of this on their testosterone levels.

Results
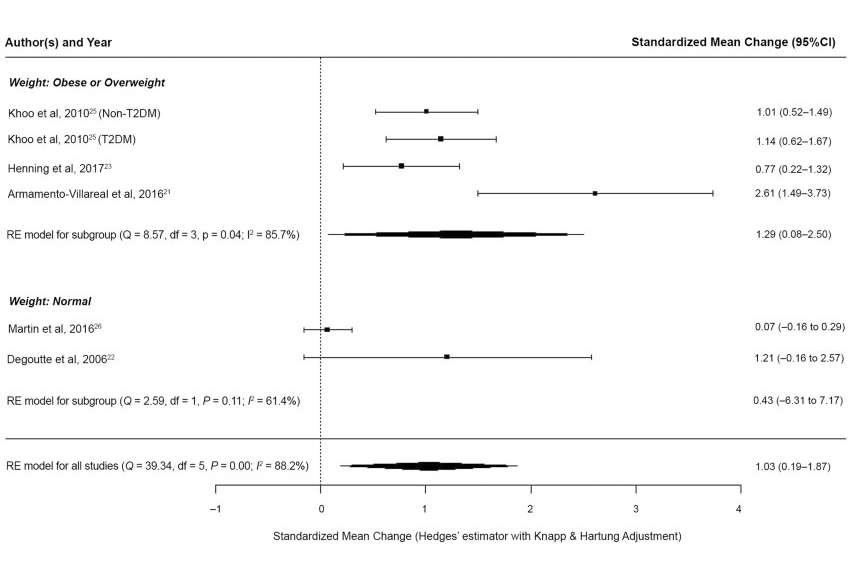
Losing weight increased testosterone levels, as you can see in the first figure below. But the increase in testosterone levels is only statistically significant if the test subjects are overweight at the start of their weight-loss diet. That's what the second figure illustrates.

Click on the figures for a larger version.


Slimming diet masculinizes fat men | Meta-study


Slimming diet masculinizes fat men | Meta-study


The figures above refer to the total testosterone level, not to the concentration of bioavailable testosterone.

It is possible that only part of the extra amount of testosterone that circulates in the body due to weight reduction is bioavailable. Losing weight also increases the concentration of SHBG in the bloodstream - although not to the extent that the concentration of total testosterone increases.

SHBG is a transport protein. Testosterone attached to SHBG is no longer active.

Mechanism
Smith suspects that a reduction in body weight increases insulin sensitivity. As a result, fat cells produce fewer factors that inhibit the release of control hormones in the brain. These control hormones stimulate the production of testosterone in the testes.

At the same time, a slimming diet ensures that fat cells convert less testosterone into estradiol and release fewer inflammatory proteins. These inflammatory proteins inhibit the production of testosterone in the testes.


Slimming diet masculinizes fat men | Meta-study


Source:
Nutr Rev. 2022 Apr 8;80(5):1222-36.

More:
Stomach reduction helps testosterone level but not erection 26.01.2013
Overweight halves teenagers' testosterone levels 31.10.2012
Weight loss makes fat men more masculine 12.10.2011
Fat belly neutralises DHT 29.12.2010

Archives:
Boosting Testosterone
Weigh Loss


More testosterone and less estradiol in coffee drinkers Testosterone levels in men over 50: age is not a factor Daily handful of hazelnuts increases elderly gentlemen's testosterone levels

More testosterone and less estradiol in coffee drinkers
People who drink a few cups of coffee a day have more testosterone and less estradiol in their blood than coffee abstainers.

Testosterone levels in men over 50: age is not a factor
As adult men age, their testosterone levels plummet, dozens of studies have concluded. But according to researchers at the American Cooper Institute, the relationship between aging and testosterone is somewhat more complex.

Daily handful of hazelnuts increases elderly gentlemen's testosterone levels
As men get older, their testosterone levels drop. A Turkish animal study suggests that supplementation with hazelnuts may prevent this decline.