ergo-log.com

Definition: "An ergogenic aid is any substance or phenomenon that enhances performance "

about us

/

contact

/

Ergo-Log

08.11.2020


A high intake of vitamin B6 protects against pancreatic cancer

A high intake of vitamin B6 protects against pancreatic cancer
If you make sure you consume a generous amount of vitamin B6 every day, you will reduce the chance that you will develop pancreatic cancer. And by 'generous' we mean more than the daily requirement stated in textbooks, but there is no need to use high-dosed supplements. Researchers from Zhejiang University report this in Nutrition Journal.

Vitamin B6
The body needs vitamin B6 for, among other things, the metabolism of amino acids, glucose and fats. Adult men and women need 1.3 - 2 milligrams of vitamin B6 daily, textbooks say. Supplements often contain more.

In the EU, EFSA scientists believe that the maximum intake of vitamin B6 from supplements should not exceed 21 milligrams per day, in the less authoritarian USA the upper daily limit is 100 milligrams.

Study
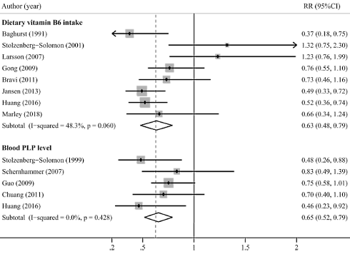
The researchers found 8 epidemiological studies that looked into the associations between pancreatic cancer and vitamin B6 intake, and 5 studies that looked at the association between pancreatic cancer and the concentration of pyridoxal-5'-phosphate [PLP], the active form of vitamin B6, in the blood.


A high intake of vitamin B6 protects against pancreatic cancer


The researchers combined the results and analyzed them again.

Results
The more vitamin B6 the study participants consumed and the higher the concentration of pyridoxal-5'-phosphate in their blood, the lower their risk of pancreatic cancer.

But if you look at the relative differences between the two groups, [Table] the picture changes. Then it turns out that strength training in a hypoxia tents leads to more muscle growth and a lot more fat loss.

The figure below has been reduced in size. Click on it for a full version.


A high intake of vitamin B6 protects against pancreatic cancer


A high intake of vitamin B6 protects against pancreatic cancer


Conclusion
"This present meta-analysis demonstrated that [...] high vitamin B6 intake was associated with lower risk of pancreatic cancer in a non-linear dose-response pattern, and serum pyridoxal 5'-phosphate level were associated with a significant linear decreased risk of pancreatic cancer", the researchers write.

"Considering that vitamin B6 is present in a wide variety of foods such as beef, liver, tuna, and bananas, this research is expected to offer novel avenues for the primary prevention and control of pancreatic cancer."

"However, this evidence is mainly derived from case-control studies and the data for the high level of dietary vitamin B6 intake were sparse, further research including randomized clinical trials is needed to examine the association of dietary vitamin B6 intake with risk of pancreatic cancer at high doses and explore the recommended treatment period to reduce the risk of pancreatic cancer."

Source:
Nutr J. 2020 Oct 4;19(1):111.

More:
Vitamin B6 helps over 60s stay mentally fit 31.03.2017
Vitamin B6, the dream vitamin 11.02.2016
Vitamin B6 protects against Parkinson's 13.01.2015

Archives:
Cancer Prevention & Survival
B Vitamins
Vitamins


B-vitamin supplementation halves chance of aggressive skin cancer Less migraine with 80 mg vitamin B6 daily Magnesium and vitamin B6 combination mitigates ADHD

B-vitamin supplementation halves chance of aggressive skin cancer
Chinese researchers at Shanghai Seventh People's Hospital write about this in Medicine.

Less migraine with 80 mg vitamin B6 daily
People who suffer from migraine react well to vitamin B6 supplementation.

Magnesium and vitamin B6 combination mitigates ADHD
For everyone with ADHD, the study that neurologists at the Centre Hospitalier Universitaire in Nimes, France, published in 2006 may seem too good to be true.