ergo-log.com

Definition: "An ergogenic aid is any substance or phenomenon that enhances performance "

about us

/

contact

/

Ergo-Log

06.03.2026


B vitamin supplementation speeds recovery from depression (well, a little)

B vitamin supplementation speeds recovery from depression (well, a little)
B vitamin supplementation speeds recovery from depression (well, a little)

(06.03.2026)

This is suggested by a somewhat older American human study published in ISRN Psychiatry.

Ergo-Log.com

Sleeping in the dark is healthier

(03.03.2026)

Sleeping in darkness supports insulin sensitivity, promotes the production of anabolic hormones and tissue repair, and helps regulate immune function.

Ergo-Log.com Ergo-Log.com

Free Newsletter

Ergo-Log.com

Sleeping in a cool bed helps you recover better

Sleeping in a cool bed helps you recover better
Sleeping in a cool bed helps you recover better

(27.02.2026)

This was discovered by American scientists who had women sleep on a gel mattress that dissipates heat more effectively. A slightly thinner blanket might have the same effect, we suspect.

Ergo-Log.com

Berberine | From diabetic to prediabetic

(23.02.2026)

Berberine supplementation can reduce glucose levels to prediabetic levels in people with early-stage type 2 diabetes.

Ergo-Log.com

Why you'll be healthier if you stop eating three hours before bed

Why you'll be healthier if you stop eating three hours before bed

Why you'll be healthier if you stop eating three hours before bed
Why you'll be healthier if you stop eating three hours before bed

(20.02.2026)

If you don't eat for three hours before bed - and thus extend your overnight fasting period by a few hours - the workload on your heart decreases, your cortisol levels decrease, and insulin function improves.

Ergo-Log.com

This amount of almonds reduces acne

(17.02.2026)

Incorporating two handfuls of almonds into your daily diet will reduce the number of pimples, blackheads, red spots, and bumps.

Ergo-Log.com

Intermittent fasting reduces symptoms in Crohn's disease
Intermittent fasting reduces symptoms in Crohn's disease

(12.02.2026)

When Crohn's patients fast intermittently, their symptoms decrease. At least, if the disease is in remission.

Ergo-Log.com

A diet rich in carotenoids reduces the risk of colon and rectal cancer

(09.02.2026)

If you don't mind spinach or kale, such a carotenoid-rich diet is perfectly feasible.

Ergo-Log.com

NK cell functions better with vitamin E supplementation

NK cell functions better with vitamin E supplementation
NK cell functions better with vitamin E supplementation

(06.02.2026)

Because we, the ignorant compilers of this free web magazine, continue to consider the possibility of an impending virageddon, we are still searching for natural methods to boost the function of Natural Killer cells. We suspect that these cells, in particular, can protect against the major viral impact.

Ergo-Log.com

Adequate vitamin D status? Broken bones heal faster

(04.02.2026)

A broken arm or leg heals faster if your vitamin D levels are up to par. This is especially true if surgery is needed to realign the bone.

Ergo-Log.com

How vitamin C helps you survive among coughers and sneezers

(01.02.2026)

If you've been in an environment where everyone is coughing, sneezing, and sniffling, or if you suspect you're on the verge of getting sick, a one-time hefty dose of vitamin C might help you stay healthy.

Ergo-Log.com

How many times a week should you do strength training if you want to live longer?

(29.01.2026)

People over 65 who strength train frequently die less often than those who don't. But they do have to hit the gym at least twice a week.

Ergo-Log.com

A little healthier by eating a little less carbohydrates

(26.01.2026)

The positive health effects of moderately restricting carbohydrate intake may be modest, but according to a this meta-study, they are indeed significant.

Ergo-Log.com


January
How maizinol improves sleep 24.01.2026
Combining rhodiola with caffeine increases explosive power 22.01.2026
Maizinol improves sleep and lowers cortisol 18.01.2026
Corn leaf extract maizanol improves sleep 16.01.2026
Only cucumbers from your own vegetable garden may contain idoBR-1 13.01.2026
In these amounts, tomato juice and carrots reduce the risk of breast cancer 08.01.2026
Less stress, more NK cells through aromatherapy with Hinoki oil 04.01.2026

December
How kiwis make your skin stronger and healthier 30.12.2025
Increase the concentration of carotenoids in your blood and reduce your risk of death 26.12.2025
Immune cells clear more tumors and viruses with megadose zeaxanthin 23.12.2025
Pregnant women give birth more easily by eating six dates a day 16.12.2025
Handful of dates lowers blood pressure 13.12.2025
cRG-1, the antiviral pectin from carrot 10.12.2025
Music for Natural Killer cells 07.12.2025
4.5 grams per day | The optimal dose of arginine for accelerated wound healing 05.12.2025
Arginine supplementation makes wounds heal twice as fast 02.12.2025

November
Treatment of Graves' disease is more successful with an iodine-rich diet 29.11.2025
Listening to music reduces the risk of dementia 24.11.2025
Correcting high blood pressure with grape seed extract | What's possible and what's not? 21.11.2025
How OPCs boost antiviral defense 18.11.2025
Metastudy | Infertile men may become father after all thanks to Q10 supplementation 16.11.2025
Combination of selenium and L-carnitine normalizes the overactive thyroid gland 12.11.2025
Heart failure? Melatonin may make you healthier 09.11.2025
A red bell pepper a day makes you fitter and faster 05.11.2025
Strong social connections slow down aging 02.11.2025

October
Magnesium bisglycinate supplement improves your sleep 31.10.2025
The less you smoke, the better your NK cells function 27.10.2025
Reducing work stress is activating NK cells 23.10.2025
Why a surprisingly many athletes will survive virageddon 19.10.2025
After a night of sufficient sleep, NK cells are at their best 17.10.2025
Oregano and sage strengthen innate immunity 14.10.2025
Does cucumber make you mentally healthier? 12.10.2025
Better living with asthma thanks to ginger 11.10.2025
This is how many amino acids are in bone broth 07.10.2025
Iminosugar idoBR1 in cucumber patches up worn joints 05.10.2025
Oyster mushrooms improve immune system during breast cancer treatment 02.10.2025

September
Glycine calms overactive bladder 29.09.2025
Low glycemic load keeps SARS-CoV-2 at bay 26.09.2025
Hypertension? Apples halve your mortality risk 23.09.2025
Pomegranate supplement increases IGF-1 levels 19.09.2025
Blueberries prevent fatty liver disease | Animal study 16.09.2025
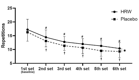
Drinking Hydrogen Rich Water helps you squeeze more reps out of your sets 11.09.2025
Half a teaspoon of spirulina per day makes MS patients fitter and healthier 08.09.2025
Krill oil reduces muscle loss during strict dieting to (almost) zero 06.09.2025
Ecdysterone and diosgenin enhance each other's anabolic effect 02.09.2025

August
Why it's better to take astaxanthin supplements with meals 31.08.2025
How to use astaxanthin to keep your skin young 28.08.2025
This lifestyle helps prevent dementia at a young age 25.08.2025
Why you'll notice absolutely nothing when using Weider Beta Ecdysterone 22.08.2025
Black tea protects against diabetes | But without sugar or sweeteners... 20.08.2025
Absence of depression and sufficient magnesium protect the brains of over-65s against Covid-19 18.08.2025
Fewer meals per day, stronger tendons 17.08.2025
Antiviral effect of garlic and onion makes covid less severe 12.08.2025
Combination of onion and garlic keeps flu and colds at bay 09.08.2025
Saffron works as well against ADHD as regular treatment with methylphenidate 07.08.2025
More magnesium, younger brains 04.08.2025
The antidiabetic effect of glucosamine 01.08.2025

July
Painful worn-out knee? This dose of ginger might help 30.07.2025
Garlic lowers LDL levels | Metastudy 28.07.2025
Astragalus maintains immunity during prolonged periods of physical exertion 24.07.2025
Getting enough selenium slows down the rate of your aging 21.07.2025
The anti-diabetic effect of propolis versus that of metformin | Trial 19.07.2025
Antidiabetic effect of propolis equals that of metformin 17.07.2025
More testosterone through intensive physical exertion plus supplementation with biotin 14.07.2025
Before taking Cat's Claw supplements, please read this meta-study 11.07.2025
Regular garlic vs. wild garlic | Which variety protects heart and blood vessels better? 09.07.2025
Magnesium keeps kidneys healthy 06.07.2025
Soil bacterium Mycobacterium vaccae relaxes you within five minutes 04.07.2025
Geosmin, the nootropic from freshly ploughed earth 02.07.2025